El gobierno de Netanyahu respalda el cese de hostilidades en Gaza. El pacto incluye un canje de rehenes por terroristas palestinos presos y el repliegue militar.
Acuerdo de alto el fuego y liberación de rehenes en Gaza
El gabinete de seguridad israelí, presidido por el primer ministro Benjamin Netanyahu, votó a favor de un acuerdo que establece un alto el fuego en la Franja de Gaza. La decisión se tomó a pesar de las objeciones públicas de algunos socios de la coalición de gobierno. El acuerdo contempla la liberación de todos los rehenes israelíes retenidos en Gaza, vivos y muertos, a cambio de la liberación de terroristas palestinos encarcelados en Israel. Las Fuerzas de Defensa de Israel iniciarán un repliegue hacia nuevas líneas dentro del territorio gazatí en un plazo específico.
La oficina de Netanyahu confirmó la aprobación del acuerdo, aunque no divulgó de inmediato el recuento detallado de la votación. El proceso de ratificación enfrentó un retraso debido a las negociaciones de última hora y a las demandas de algunos ministros. La implementación del pacto se realizará en varias fases secuenciales, coordinadas a través de mediadores internacionales. El cese de las operaciones militares israelíes es inmediato tras la aprobación gubernamental.
El primer ministro Netanyahu declaró que uno de los objetivos centrales de la guerra era el regreso de los rehenes. Agradeció la asistencia del equipo del expresidente estadounidense Donald Trump en las negociaciones. Netanyahu destacó que la presión militar y diplomática sobre Hamás permitió alcanzar este punto. La operación militar en Gaza se extendió durante los dos años previos a la firma del acuerdo.
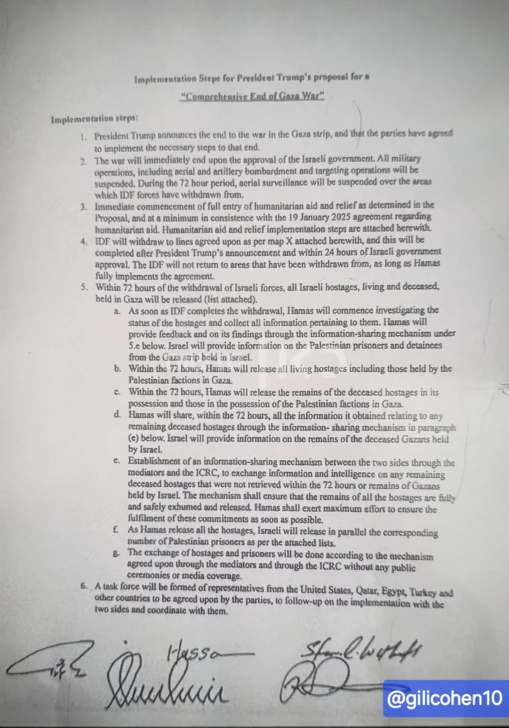
El acuerdo firmado detalla los pasos para un fin integral de la guerra en Gaza. El primer paso consiste en el anuncio formal del cese de la guerra. El segundo paso establece la finalización inmediata de todas las operaciones militares tras la aprobación israelí. El tercer paso exige el inicio del ingreso completo de ayuda humanitaria a la Franja de Gaza.
וידאו: דברי ראש הממשלה בנימין נתניהו בישיבת הממשלה לאישור מתווה שחרור החטופים, יחד עם השליח המיוחד סטיב וויטקוף וחתנו של נשיא ארה״ב ג׳ארד קושנר. pic.twitter.com/OFz7xy0iZe
— ראש ממשלת ישראל (@IsraeliPM_heb) October 9, 2025
Puntos clave del acuerdo de cese de hostilidades
- Las FDI se retiran a líneas acordadas dentro de las 24 horas posteriores a la aprobación.
- Hamás libera a todos los rehenes israelíes en un plazo de 72 horas tras el repliegue militar.
- Israel libera a 250 terroristas palestinos con cadena perpetua y a 1.700 residentes de Gaza.
- El canje se realiza mediante un mecanismo acordado con mediadores y el CICR, sin ceremonias públicas.
Posición política y objeciones dentro de la coalición
Los ministros Itamar Ben Gvir y Yitzhak Wasserlauf, del partido Otzma Yehudit, votaron en contra del acuerdo. El ministro de Finanzas, Bezalel Smotrich, y la ministra Orit Strock, del partido Sionismo Religioso, también rechazaron la propuesta. Sin embargo, el ministro de Inmigración, Ofir Sofer, quien pertenece al mismo partido que Smotrich, apoyó la medida. Los partidos disidentes anunciaron que permanecerían en la coalición de gobierno por el momento.
Ben Gvir advirtió que si la organización Hamás no se desmantela, su partido provocaría la caída del gobierno. Esta advertencia repite una amenaza anterior que condicionaba su continuidad a la eliminación del grupo. El partido de Ben Gvir abandonó temporalmente la coalición a principios de año para protestar por un acuerdo anterior de liberación de rehenes. Su demanda de vetar la liberación de terroristas presos específicos retrasó la reunión del gabinete de seguridad.
Durante las discusiones previas a la votación, Ben Gvir mantuvo un intercambio de opiniones con los asesores estadounidenses Jared Kushner y Steve Witkoff. El ministro argumentó que no es posible lograr la paz con Hamás. En respuesta, Kushner sostuvo que Hamás se encuentra aislado y disuadido a nivel internacional. La salida de Otzma Yehudit y Sionismo Religioso de la coalición no disuelve automáticamente el gobierno, que conserva una base parlamentaria.

La estabilidad del gobierno de Netanyahu depende de los 60 escaños que controla actualmente en la Knéset de 120 miembros. Un voto de censura constructivo requiere que 61 legisladores acuerden un gobierno alternativo, un escenario considerado improbable. Otra opción para la oposición es recolectar firmas para solicitar la disolución de la Knéset, pero una iniciativa legislativa en ese sentido fracasó en junio.
Participación internacional y declaraciones de los mediadores
Jared Kushner y Steve Witkoff, asesores del presidente Donald Trump, participaron en la negociación del acuerdo y asistieron a la reunión del gabinete israelí. Kushner elogió el desempeño militar de Israel y afirmó que el regreso de los rehenes siempre fue una prioridad para Trump. Destacó el coraje de los soldados de las FDI y sus operaciones en Gaza y el norte del país. Kushner también reconoció el papel de Netanyahu en las negociaciones.
Steve Witkoff, enviado especial de la Casa Blanca, elogió al primer ministro israelí por tomar decisiones difíciles durante el proceso. Witkoff señaló que, en retrospectiva, la firmeza de Netanyahu fue un factor crucial para alcanzar el acuerdo. La mediación contó con la participación de Estados Unidos, Qatar, Egipto y Turquía, entre otros actores internacionales. Se formará un grupo de trabajo para supervisar la implementación de los acuerdos.
El presidente de la Knéset, Amir Ohana, invitó formalmente al presidente Donald Trump a dirigirse al parlamento israelí. La invitación se produce en el contexto de una visita programada de Trump a Israel la próxima semana. Previo a la aprobación del acuerdo, el edificio de la Knéset se iluminó con los colores rojo, blanco y azul en honor a la esperada visita del líder estadounidense.
El acuerdo firmado establece un mecanismo claro para el intercambio de rehenes y terroristas presos. El proceso se realizará sin ceremonias públicas ni cobertura mediática, según lo acordado por las partes. El grupo de trabajo internacional se coordinará con ambas partes para garantizar el cumplimiento de lo pactado. El fin de la guerra se declara con la aprobación del gobierno israelí y el anuncio del presidente Trump.
